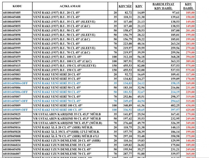
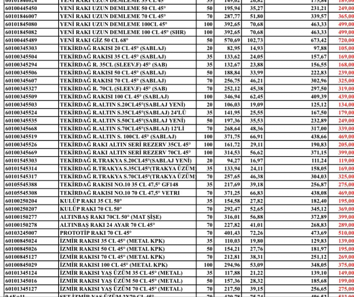
Türkiye Tekel Bayileri Platformu Başkanı Özgür Aybaş, kişisel Twitter hesabında yaptığı paylaşımda Yeni Rakı, Tekirdağ, Kulüp, Altınbaş, İzmir Rakısı, İstanblue, Smirnoff, Binboa gibi markaları bünyesinde bulunduran Mey grubunun fiyat artışına gittiğini duyurdu.
Aybaş, yeni fiyat listesini de paylaştı:




Son olarak 5 Ocak 2022'de yapılan zamda 35'lik Yeni Rakı'nın fiyatı 92'den 129 TL'ye yükselmişti. Ürün, bu fiyat artışıyla birlikte artık 150 TL'ye satılacak.