Açıklayayım. Şu an günümüzde matematiksel işlemler yaparken "2+3 = 5" ya da "x-3 = 8" gibi matematik sembolleri kullanıyor ve hepimiz anlıyoruz. Bu semboller aslında matematiğin dilidir ve bunların toplamına matematiksel notasyon denir. Günümüzde eğer matematiksel bir işlem ifade etmek istiyorsanız matematiksel notasyon kullanırsınız. Ancak bu semboller de diller gibi zamanla birike birike ilerler ve gelişir.
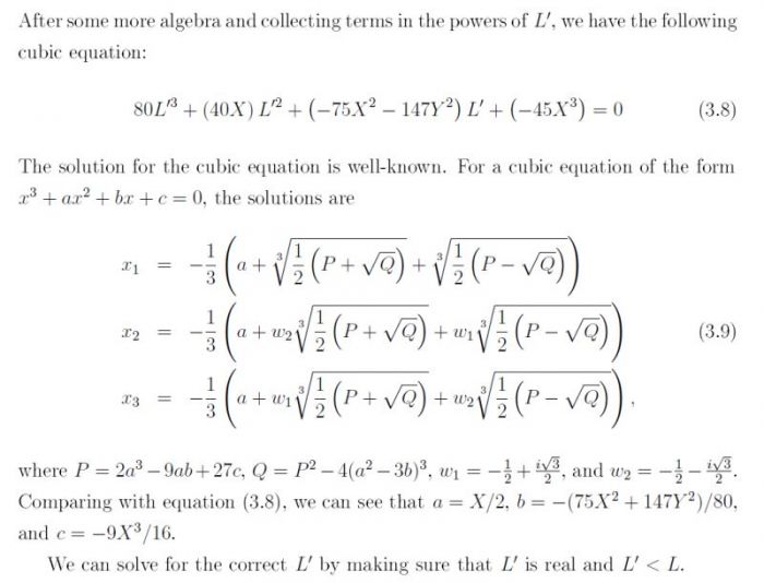
Eskiden tüm dünyada kullanılan ortak bir matematiksel notasyon yoktu. Bu sebepten insanlar matematiksel işlemleri yazarken "2+3 = 5" şeklinde değil de "iki ile üçü toplarsan beş eder" gibi sözel ifadelerle yazıyorlardı. Hatta bu işi ileri götürüp matematiksel formülleri şiir halinde yazanlar bile vardı. Örneğin; günümüzde kübik denklem çözüm formülü şu görseldeki gibi matematiksel notasyon kullanılarak ifade edilir:

Ancak mesela henüz evrensel bir matematiksel notasyona sahip olmadığımız bir dönem olan orta çağ'da matematikçilik yapan niccolo tartaglia kübik denklem için bulduğu çözüm formülünü görseldeki gibi şiir şeklinde yazmıştır:

Peki bu durumun x ile ne ilgisi var?
Harezmi 820 yılında islam altın çağını yaşarken `el'kitab'ül-muhtasar fi hısab'il cebri ve'l-mukabele, yani cebir ve denklem hesabı üzerine özet kitap` isminde bir kitap yazıyor. Bu kitap tarihin ilk cebir kitabıdır. Cebir dediğimiz şey de "değeri bilinmeyen sayıları semboller ile ifade ederek matematiksel işlem yapmak" şeklinde özetlenebilir.
Harezmi bu kitabı yazarken cebir fikrini ortaya atıyor, ancak kitapta bugün kullandığımız 1,2,3,4 gibi semboller yok. Tıpkı türkçede 1,2,3,4 yerine bir, iki, üç, dört diyebilmemiz gibi bütün işlemleri sözel olarak yapıyor.

Harezmi'nin kitabından bir örnek
Bu kitabın cebir başlığı kısmında cebirsel işlemleri yaparken şuna benzer bir cümle kuruyor: bir "şey" olsun, bu "şey" iki ve üç sayılarının toplamına eşit olsun. O zaman bu "şey" beşe eşittir.
Dikkatinizi çekerim, bizim türkçede "şey" dediğimiz kelime aslında arapça kökenlidir ve araplar da "şey" kelimesini "şey" şeklinde telaffuz eder. Günümüzde nasıl insanlar günlük hayatta kelimeleri resmi hallerinde olduğu gibi kullanmıyorlarsa o zamanlar da bu durum geçerliydi. Yani harezmi tarafından yazılan "bir şey olsun o da beşe eşit olsun" cümlesini okuyan kişi "bi' şi olsun, o da beşe eşit olsun" şeklinde okuyordu.
Bu kitap döneminde epey ünleniyor kuzey afrika'dan ispanya'ya gidiyor. Burada kitabı okuyan avrupalı matematikçiler kitabı latin dillerine çevirmeye karar veriyorlar ancak latin dillerinde "şi" şeklinde telaffuz edebilecekleri bir harf bulamadıkları için "biz buna şi değil de ki diyelim madem" diyerek yunan alfabesindeki "ki" harfini kullanmaya karar veriyorlar.
Avrupalılar da şi yerine ki kullanmaya karar verdikleri için harezmi'nin formülünü " 'bi'şi olsun, o da beşe eşit olsun" şeklinde yazmak yerine "biki olsun o da beşe eşit olsun" şeklinde yazıyorlar.
O zamanlar yunan alfabesindeki "ki" harfi ise x şeklinde yazılıyor.

Dolayısıyla avrupalılar "bi ki olsun" yazısını yazarken " bi x olsun" şeklinde yazıyorlar.
Modern evrensel matematiksel notasyonun çoğunluğu ise ileri zamanlarda avrupa kıtasında yaygınlaşmaya başladığı için de biz modern dönemde matematiksel notasyonumuzu avrupalılardan alıyoruz. Avrupalılar ise matematiksel notasyonlarında "şey" kelimesi yerine geçen sembol olarak x harfini kullandığından, bugün biz bilinmeyenlere x diyoruz.
Yani özetle; "x = 2+3 ise x nedir "şeklinde yazılan denklem "şey = 2+3 ise bu şey nedir?" anlamına geliyor.